振動頻率是指與無源晶振(晶體諧振器)一起工作的振蕩電路的實際頻率。振動頻率由無源晶體諧振器決定,并受MCU、外部負載電容、PCB雜散電容等的影響。
測量方法(一)
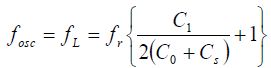
振動頻率通過以下方程來計算。負載共振頻率,fr: 共振頻率,Cs: 負載電容,C0、C1: 等效電路常數:

1. 測量設備和裝置
振蕩電路
頻率計數器
放大器 (或是帶有輸出信號的示波器)
探針
2. 按照下圖所示準備測量設備。請盡可能延長示波器中Y軸的范圍。
3. 讓探針盡可能靠近振蕩電路。
4. 從頻率計數器上讀取頻率。
注意
請不要讓探針觸碰振蕩電路。由于探針的輸入電容,實際振蕩頻率會降低。
請注意,示波器中顯示的頻率精度是不夠的。
請注意數字示波器因量化誤差而產生的采樣率或平均數。
測量方法(二)
1. 測量設備和裝置
振蕩電路
光譜分析儀
天線 (可以用作天線的同軸電纜)
2. 按照下圖準備測量設備。
3. 讓天線盡可能靠近振蕩電路。
4. 讀取光譜分析儀響應的峰值頻率。
注意
請不要讓天線觸碰振蕩電路。
請使用小量程的光譜分析儀測量響應,以提高精度。
測量頻率時,為了防止對探針等產生的影響,不要讓任何物體接觸振蕩電路,這很重要。如果探針接觸振蕩電路聯通探針電容,會使振蕩頻率偏移。

